Více činností současně
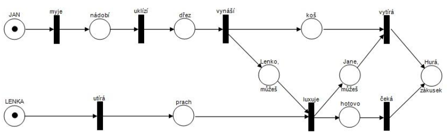
Jan má sestru Lenku. Dostali od maminky na sobotní odpoledne seznam úkolů domácích prací. Až je udělají, dostanou kakao a zákusek, který maminka upekla. Sourozenci vyhodnotili náročnost úkolů a rozdělili si je. Jan umyje a utře nádobí, potom po sobě uklidí dřez, a pak vynese koš. Lenka mezitím utře prach. Až půjde Jan s košem, vyluxuje. Nakonec Jan vytře.
V reálných situacích často probíhají některé činnosti najednou (paralelně).
Pro zobrazení některých činností či postupů potřebuji obdobu grafů, v níž vrcholy představují většinou nějaký stav a hrany přechod z jednoho stavu do jiného (grafické znázornění automatů).
Potřebujeme nějaké značky, které by se mohly pohybovat v grafu, a to navíc současně.

Nejprve si vytvoříme model prvního Janova úkolu.
Místa (kroužky) budou popisovat, co je už uděláno, přechody (plné obdélníčky) jednotlivé činnosti.
A první místo popíšeme Janovým jménem.
Janovy činnosti na sebe navazují.

Lenka dělá svoje úkoly současně s Janem. Umístíme je paralelně, tedy vedle (pod) sebe.

Lenka luxuje až v průběhu toho, co Jan vynáší koš. Jinak by jí totiž překážel.
A Jan s vytíráním počká, až je vyluxováno. Obě linie propojíme. Musí si nějak vzájemně říct, že mají hotový příslušný úkol.

Přestože má Lenka svou práci hotovou, čeká, až Jan dokončí svůj poslední úkol.
Paralelní činnosti
Pro zobrazení některých činností či postupů potřebujeme obdobu grafů, v níž vrcholy představují většinou nějaký stav a hrany přechod z jednoho stavu do jiného (grafické znázornění automatů). Potřebujeme-li zobrazit paralelní jevy, pak už obvykle nestačí statický model (kde se nic nehýbe).
Procvičování s Bobrem
V této kolekci najdete ÚLOHY, KTERÉ PROVÁDĚJÍ NA GRAFECH NĚJAKÉ OPERACE, např. hledají nejkratší průchod, kostru grafu. Jiné úlohy pracují s nějakým speciálním typem grafu, jako je strom, Vennův diagram, graf automatu apod. Pochopitelně zde nejde o úvod do této teorie, ale o její propedeutiku. Úlohy se často řeší intuitivně.
Copied from: Informatika s Bobříkem 11. úkol
Nadpis a text mezi čarami zkopíruj do pracovního sešitu.

Do sešitu pod nadpis vypracuj úlohu Bobříka informatiky (z roku: 2013, kategorie Kadet)
Nindža
Kdysi dávno v Japonsku někteří Nindžové sloužili vládě šóguna.
Svolávali se kouřovými signály.
Červený bod na obrázku ukazuje sídlo šóguna země. Každý světlý bod je místo, kde se může zapálit oheň a vyslat kouřový signál. Jsou-li dva body spojeny čarou, jsou jejich kouřové signály navzájem vidět. U každého bodu drží Nindžové nepřetržitou strážní službu. Když uvidí kouřový signál, zapálí svůj oheň během jedné minuty.
Šógun zapálil svůj oheň.
Za jak dlouho bude oheň hořet na všech místech?

